| 09考研数学重难疑点分析:重积分的复习 |
| 作者:文都教育 文章来源:sina 点击数: 更新时间:2008-9-23 21:55:56 |
|
|
|
重积分是多元函数积分学中的一部分,主要包括二重积分与三重积分,特别地,二重积分是联系其他多元函数积分学内容的中心环节,故而它也是核心。
二重积分是三重积分的基础,在建立了二重积分概念以后,三重积分是其自然的推广,没有本质折差别。在计算上看来,二重积分与三重积分都是最终化为定积分来计算的,但三重积分不论是采用“先二后一”还是“先一后二”,都要通过二重积分的计算,所以二重积分在多元函数积分学中有重要的作用,深入理解二重积分的概念,熟练掌握二重积分的计算方法,是学好多元函数积分学的关键。
对三重积分来说,计算的基本思路是转化为定积分,但计算的繁简取决于坐标系的选择,而坐标系的选择取决于积分区域的形状。一般来说,当积分区域是柱体、锥体或由柱面、锥面、旋转面与其他曲面所 空间立体时,宜利用柱面坐标计算;当积分区域是球体、锥体或球本的一部分时,宜利用球面坐标计算;当积分区域是长方体、四面体或任意形体时,宜利用直角坐标计算。
五、重积分
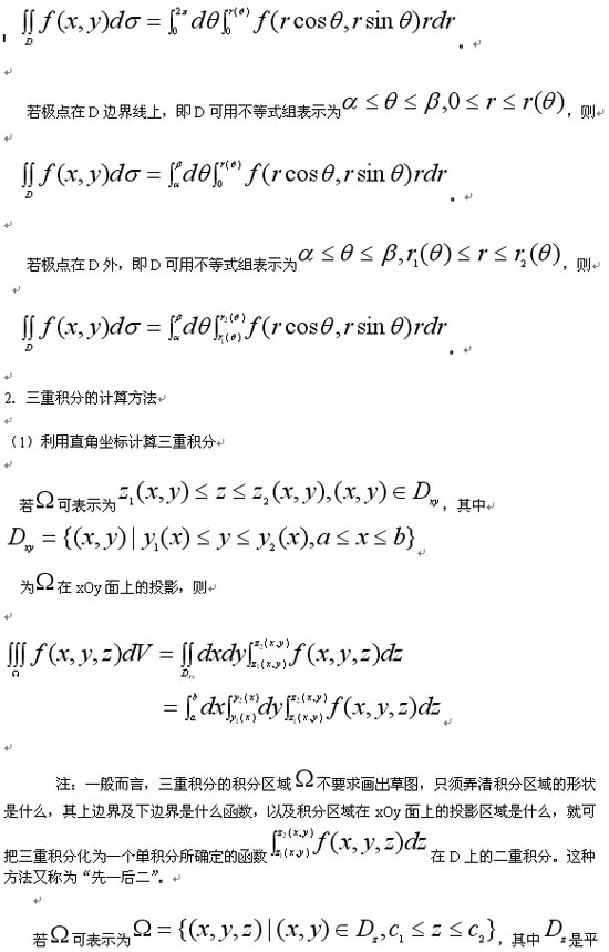
1.二重积分的计算方法
(1)利用直角坐标计算二重积分




|
|
|
上一个文章: 考研数学支招:确定答题顺序是成败关键 下一个文章: 助你一臂之力 考研数学合理利用辅导书方略 |