| 2008年考研数学新考点之曲率圆 |
| 作者:cnedu 文章来源:cnedu 点击数: 更新时间:2007-9-3 20:50:07 |
|
|
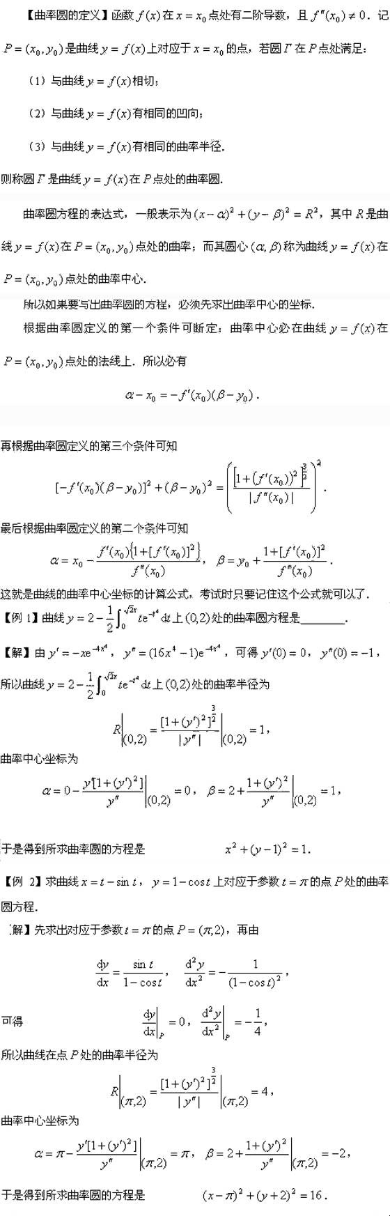
| 曲率圆是高等数学中一个小得不能再小、轻得不能再轻的知识点。
但是由于他是2008考研数学新大纲中的一个最突出的修改,所以十分令人瞩目。新大纲规定将他作为数学一、数学二的一个新考点。
因此有些专家就说这是考研复习的“新焦点”,我认为这是很不妥当的。
本人认为:
(一)有关曲率圆的内容和要求,既然已经被明确作为考生必须掌握的一个知识点,那么考生理应掌握好这一知识点,花适当的时间去复习、理解、掌握;
(二)有关曲率圆的内容和要求,不可能是构成考研试卷的核心内容,所以考生在复习时不必花太多的时间。
(三)所谓“新”不过是辅导老师将去年与今年的大纲比较得到的结论。不能对这个“新”,作太过分的渲染。对于第一次考研的学生来说,对你面前的大纲内的所有内容作一视同仁看待就行了,不要管哪个内容是哪一年新增加的。
从这个原则出发作,以下辅导。

|
|
|
上一个文章: 2008年考研数学新考点之形心 下一个文章: 2008年考研数学新考点之曲面方程新要求浅析 |