一、大纲的主要变化
整体来看,今年数学四的大纲变化主要有如下几点:
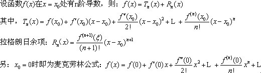
1、08年数学大纲增加了一项“了解泰勒定理”的考察内容。
泰勒定理:
2、增加了“会用导数判断函数图形的凹凸性”的官方说明。
3、在概率论部分,增加了对于几个常见分布的标准符号表示。
4、新大纲在试卷的题型比例上也进行了一定的调整。
新大纲中填空题和选择题的比例由去年的45%调整为37%,而相应的解答题则由55%调整为63%。这一调整实际是对2006年大纲内容的“回归”,进一步表明对于解答题的重视有所提高。
二、评述及对策
从第一部分的内容可以看出,大纲的主要变化总体上来说并不大,更突出了微观上的一些结构性调整。所以这些微调对于考生的复习计划并不会产生什么太大的影响,考生仍然可以按照既定的计划进行复习,同时根据调整后的大纲进行一定的局部改变即可。在复习的过程当中,还是应该特别重视基本概念的熟练掌握和基本定理的灵活运用。
在经济学的学习当中,泰勒定理可以说是非常重要。对于许多实际经济学问题的解决,泰勒定理都是一个非常必要的数学工具。新大纲中加入了对这一块内容的了解的要求,跟经济学研究的基本要求和基本方向是一致的。另外,对于新大纲中对于利用导数判断函数凹凸性,使得判断函数凹凸性变得更加规范化和简化。最后,几种常见分布的标准符号表示的官方说明是第一次出现在大纲中,进一步规范了几种分布的表达。考生应该注意在平常的复习当中,把具体的分布和相应的符号表示建立一一对应的关系,并且要清楚符号表示中每一个符号的实际意义。当题目给出符号表示时候,能够知道这是什么分布,且其中每一个字母分别的意义为何。
另外需要指出的是,今年大纲的题型比例上来看,进行了一些调整。具体说来就是加强了解答题的分量。实际上,这次的调整是对2006年大纲的一种“回归”。针对这种调整,考生应该有的放矢的加强针对解答题的复习和练习。
三、大纲调整部分的相应例题和练习题
在本部分中,我们试着给出大纲的几个主要的变化的几个参考例题,并设计了若干道可能会在考研试卷中出现的题目类型,以期考生可以进一步熟悉大纲变化的内容,从而进行更有针对性地复习。
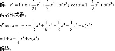
1、 泰勒公式的应用

练习1:求出下列初等函数的n阶泰勒公式,并给出其拉格朗日余值。
2、 判断函数的凹凸区间
练习2:
3、 分布的标准符号。



练习3:给出二项分布、泊松分布、均匀分布、指数分布、一般正态分布、标准正态分布以及二维正态分布这几个常见分布的符号表示,并用相应的符号表示出这几个分布的期望和方差的值。
|