首页 | 新闻中心 | 考试指导 | 试题资源 | 下载中心 | 个人博客 | 图书中心雁过留声托业考试 | 考研专区 | 司法考试 | 公务员考试 | 法硕专区 | 中高考专区

 
您现在的位置: 中国1考网 >> 考研专区 >> 复习指导 >> 数学 >> 正文  
 
 
 
2009年考研数学考前权威综合预测题
作者:万学海文 文章来源:sina 点击数: 更新时间:2009-1-13 8:56:18

  距离2009年考研只有最后两天时间,考研数学复习也进入到最后冲刺阶段,为帮助考生网友复习,万学海文推出了2009年考研数学考前权威综合预测题,愿每位考生都能取得好成绩。以下是试题内容:

2009年考研数学考前权威综合预测题例1-例3
2009年考研数学考前权威综合预测题例4

   

2009年考研数学考前权威综合预测题(2)例5

   

2009年考研数学考前权威综合预测题(3)例6-例7

   

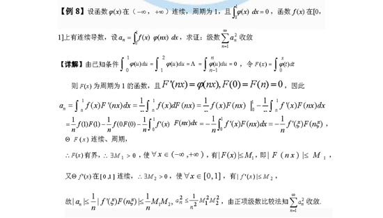
2009年考研数学考前权威综合预测题(4)例8

   

2009年考研数学考前权威综合预测题(5)例9

   

2009年考研数学考前权威综合预测题(6)例10

   

2009年考研数学考前权威综合预测题(7)例11

   

2009年考研数学考前权威综合预测题(8)例12-例13

   

2009年考研数学考前权威综合预测题(9)例14-例15

   

2009年考研数学考前权威综合预测题(10)例16

   

2009年考研数学考前权威综合预测题(11)例17-例18

   

2009年考研数学考前权威综合预测题(12)例19-例20

   

2009年考研数学考前权威综合预测题(13)例21

   

2009年考研数学考前权威综合预测题(14)例22

   

2009年考研数学考前权威综合预测题(15)例23-例24

   

2009年考研数学考前权威综合预测题(16)例25-例26

   

2009年考研数学考前权威综合预测题(17)例27

   

2009年考研数学考前权威综合预测题(18)例28

   

  • 上一个文章:

  • 下一个文章:
  • 特别说明:由于各方面情况的不断调整与变化,中国一考网所提供的所有考试信息仅供参考,敬请考生以权威部门公布的正式信息为准。

    网友评论(评论只代表网友观点,与本站立场无关)
    发表评论
    姓 名: *(必填项) ·注册用户·
    Email: QQ号:
    评 分: 1分 2分 3分 4分 5分
    评论
    内容
     
     
    今日推荐
    最新新闻资讯

    国家公务员局有关负责

    辣评:培养考试机器的
    普通文章[公务员动态]09公务员调剂名词解释:公共科目01-13
    普通文章[公务员动态]2009年中央国家机关公务员考试录01-13
    普通文章[公务员动态]09年国家公务员考试成绩公布 发改01-13
    普通文章[公务员动态]国家公务员笔试成绩已公布 面试注01-13
    普通文章[公务员动态]国家公务员合格线西部边远地区给01-13
    普通文章[公务员动态]09年北京公务员公共科目笔试大纲01-13
    普通文章[公务员动态]09年国家公务员录用首次网上调剂01-13
    普通文章[公务员动态]09年国家公务员查分考生如何查询01-13
    普通文章[公务员动态]2009中央机关国家公务员考试面试01-13
    普通文章[公务员动态]2009年中央机关及直属机构公务员01-13
    最新复习指导
    普通文章[政治]09考研政治形势与政策重要选择题01-13
    普通文章[政治]2009年考研政治形势与政策备考预01-13
    普通文章[政治]考研政治时政冲刺复习:把握重点01-13
    普通文章[政治]考研政治资料:08年国内外重要时01-13
    普通文章[政治]09年考研政治理论邓论重点方向预01-13
    普通文章[政治]09考研政治邓论和三个代表备考预01-13
    普通文章[政治]09考研政治当代世界经济与政治备01-13
    普通文章[政治]启航名师王茂水:09考研政治经济01-13
    普通文章[政治]09年考研政治理论政治经济学重点01-13
    普通文章[政治]09考研政治马克思主义政治经济学01-13
    最近试题资料
  • 此栏目下没有文章
  • 最新增值资源
     
    1考网简介 | About 1kao | 广告服务 | 联系我们 | 版权申明 | 会员注册 | 产品答疑
    Copyright © 2004-2010 www.1kao.net, All Rights Reserved
    公务员考试 MBA论文 考研大纲 中国1考网 版权所有