首页 | 新闻中心 | 考试指导 | 试题资源 | 下载中心 | 本站商城 | 个人博客 | 图书中心雁过留声托业考试 | 考研专区 | 司法考试 | 公务员考试 | 法硕专区 | 中高考专区

 
您现在的位置: 中国1考网 >> 高考专区 >> 复习备考 >> 数学 >> 正文  
 
 
 
2008年高考各科预测简易报告(数学理)
作者:SINA 文章来源:SINA 点击数: 更新时间:2008-5-13 19:26:00


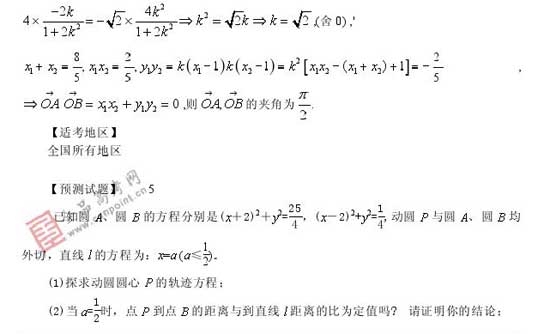
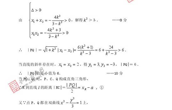
2008年高考各科预测简易报告(数学理)(11)

2008年高考各科预测简易报告(数学理)(11)

2008年高考各科预测简易报告(数学理)(11)

2008年高考各科预测简易报告(数学理)(11)

 << 上一页  [11] [12] [13] [14] [15] 下一页

  • 上一个文章:

  • 下一个文章:
  • 特别说明:由于各方面情况的不断调整与变化,中国一考网所提供的所有考试信息仅供参考,敬请考生以权威部门公布的正式信息为准。

    网友评论(评论只代表网友观点,与本站立场无关)
    发表评论
    姓 名: *(必填项) ·注册用户·
    Email: QQ号:
    评 分: 1分 2分 3分 4分 5分
    评论
    内容
     
     
    今日推荐
    最新新闻资讯

    2007年考研高校复试线

    08年全国司法考试大纲
    普通文章[资讯动态]法硕就业前景05-05
    普通文章[资讯动态]全国法律硕士联考备考十大建议05-05
    普通文章[资讯动态]在职人员如何安排法律硕士复习计05-05
    普通文章[资讯动态]2009年法律硕士考试考前复习与应05-05
    普通文章[资讯动态]2009年法硕备考春季启动方略05-05
    普通文章[司考资讯]08年司法考试大纲公布 台湾居民也04-29
    普通文章[司考资讯]08年全国司法考试大纲公布 或将删04-22
    普通文章[司考资讯]08年国家司法考试新大纲14部门法04-22
    普通文章[司考资讯]自2008年起台湾居民可参加大陆司04-17
    普通文章[司考资讯]坚持就是胜利:三上司法考试考场04-16
    最新复习指导
    普通文章[数学]09考研数学最佳复习规划:养成良05-06
    普通文章[数学]考研大纲出来前数学应该如何复习05-06
    普通文章[英语]考研名师谈英语应用文写作训练技05-06
    普通文章[综合辅导]09年国家公务员考试八要素:笔试05-05
    普通文章[综合辅导]合理安排复习:拒绝成为公务员考05-05
    普通文章[综合辅导]公务员考试心理辅导:良好的心态05-05
    普通文章[英语]考研英语名师冉继军:英译汉题型05-05
    普通文章[英语]考研英语名师王舰:四大原则攻克05-05
    普通文章[英语]名师指点:考研英语阅读理解进阶05-05
    普通文章[英语]考研英语名师指导:如何复习最有05-05
    最近试题资料
  • 此栏目下没有文章
  • 最新增值资源
     
    1考网简介 | About 1kao | 广告服务 | 联系我们 | 版权申明 | 会员注册 | 产品答疑
    Copyright © 2004-2010 www.1kao.net, All Rights Reserved
    公务员考试 MBA论文 考研大纲 中国1考网 版权所有