| 2012年北京公务员考试行测技巧:数字特性法 |
| 作者:SINA 文章来源:SINA 点击数: 更新时间:2012-2-8 14:15:08 |
|
|
|
数字特性法是资料分析解题中常用的计算技巧之一,它是利用一些常用数据的数学特性,将小数、整数和分数三者进行相互转化的化简方法。
中公教育专家为大家重点介绍这一计算技巧。
1.数字特性法应用情形
(1)当算式中的小数接近于下列真分数时,可以化成如下的真分数。

(2)当分式中出现尾数为5、25、125的数据时,可以将分子分母同时乘以2、4、8,使得分子或分母的有效计算数位减少、计算量减轻。

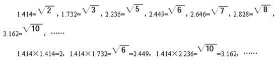
(3)当算式中的小数为以下情形时,可以化成相近部分无理数,再进行计算。

2.例题详解
例题1:北京行测真题
2007年前三季度,A市工业生产保持稳步增长的良好态势。全市规模以上工业企业(下同)实现工业增加值3806.37亿元,比去年同期增长12.7%。其中,轻工业增加值1088.25亿元,增长9%;重工业增加值2718.12亿元,增长14.2%。完成工业总产值15777.56亿元,比去年同期增长16.2%。其中,轻工业完成3550.44亿元,增长9.7%;重工业完成12227.12亿元,增长18.2%。
2006年前三季度,该市完成工业总产值约为( )。
A.3377亿元 B.3311亿元
C.13578亿元 D.13221亿元

例题2:
2006年全年全省参加企业养老保险人数964.4万人,比上年末增加87.6万人;企业实际缴费人数722万人,企业养老保险基金收入318.2亿元,支出192.3亿元,累计结余453.7亿元,比上年末增加125.9亿元,基金支付能力稳定上升,支付能力达26个月。参加失业保险人数504.4万人,比上年末增长13.4%;基本医疗保险参保人数730.6万人,比上年末增长14.2%;工伤保险参保人数604万人,比上年末增长33.3%。
与上年末相比,2006年末,以下四个项目人数增加最多的是( )。
A。参加企业养老保险人数 B。参加失业保险人数
C。基本医疗保险参保人数 D。工伤保险参保人数

分享到:
|
|
|
上一个文章: 北京市公务员考试行测命题趋势分析 下一个文章: 2012年江苏省公务员考试行测大纲解读 |